Egzoplaneta kandydatka a egzoplaneta potwierdzona
Ponad 4000 – tyle „potwierdzonych” egzoplanet znajduje się w znanym katalogu. Jeszcze więcej odkryć, informujących od potencjalnym istnieniu konkretnej planety, czeka na potwierdzenie. Teraz na potwierdzenie będzie czekać też odkrycie pierwszej potencjalne planety spoza Drogi Mlecznej, dokonane przez grupę badaczy, której przewodziła Rosanne Di Stefano z Harvard-Smithsonian Center for Astrophysics (CfA).
Zespół Rosanne Di Stefano zaobserwował z pomocą Kosmicznego Teleskopu Chandra coś, co wyglądało na tranzyt, który miał miejsce w galaktyce spiralnej o nazwie Messier 51 (M51), znanej również jako Galaktyka Wir. Galaktyka Wir znajduje się około 23 miliony lat świetlnych stąd, w gwiazdozbiorze Psów Gończych.
Okazja do szukania planet poza Drogą Mleczną
Tranzyt to w astronomii przejście planety przed tarczą gwiazdy – zdarzenie, które powoduje tymczasowy spadek jasności tej gwiazdy. Poszukując planet poza Drogą Mleczną, astronomowie wypatrywali spadków jasności obiektów w zakresie promieniowania rentgenowskiego. Dlaczego właśnie promieniowania rentgenowskiego?
Otóż, w 2018 roku Di Stefano wraz z jedną ze swoich współpracowniczek – Nią Imarą – pokazały, że planeta może mieć inny wpływ na gwiazdę podwójną zwaną rentgenowskim układem podwójnym niż na inne gwiazdy. Rentgenowski układ podwójne charakteryzuje się tym, że tworzą go gwiazda zwarta – czarna dziura lub gwiazda neutronowa oraz towarzysz – gwiazda ciągu głównego. Emisja rentgenowska powstaje w nim w wyniku opadania materii na gwiazdę zwartą. Jako że gwiazdy zwarte z reguły są dość małe, planeta przechodząca przed ich tarczą mogłaby doprowadzić do niemal całkowitego lub całkowitego „zaćmienia” promieni rentgenowskich zmierzających w naszą stronę.
By spróbować wykryć planetę krążącą wokół rentgenowskiego układu podwójnego, zespół Di Stefano wykorzystał obserwacje trzech galaktyk – wspomnianej Messier 51, a także Messier 101 (Galaktyki Wiatraczek) oraz Messier 104 (Galaktyki Sombrero). Z nich badacze wyodrębnili odczyty promieniowania rentgenowskiego pochodzące z aż 2624 rentgenowskich układów podwójnych i przystąpili do poszukiwania egzoplanet.
Pierwsza potencjalna egzoplaneta z innej galaktyki
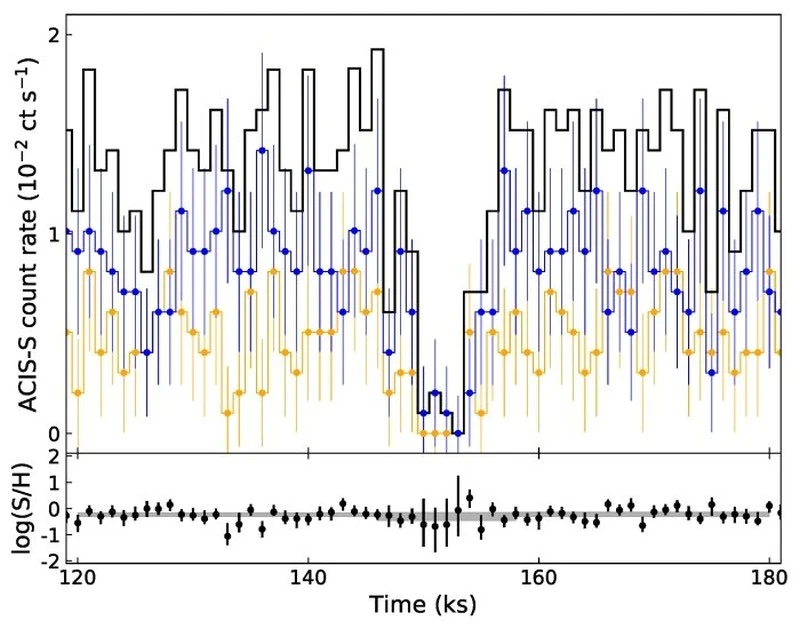
Spośród tysięcy sygnałów tylko jeden odpowiadał temu, czego zespół szukał. Pochodził on z wyjątkowo jasnej rentgenowskiej gwiazdy podwójnej – M51-ULS-1. Składa się na nią gwiazda zwarta (nie wiadomo, czy czarna dziura, czy gwiazda neutronowa) oraz masywny towarzysz – by może gorąca, jasna gwiazda typu widmowego B. Podczas obserwacji M51-ULS-1 charakteryzowała się w miarę stałą jasnością w zakresie promieni rentgenowskich, poza pewnym 3-godzinnym okresem. Co istotne, jasność układu przed tym okresem i po nim była taka sama, co sugeruje, że zaćmienie było spowodowane czymś z zewnątrz a nie interakcjami samych gwiazd układu.
Spadek jasności rentgenowskiej gwiazdy podwójnej M51-ULS-1 zarejestrowany w zakresie promieniowania rentgenowskiego. | Źródło: Di Stefano et. al., Nat. Astron., 2021
Rzecz jasna następnym krokiem było określenie, co tak właściwie spowodowało spadek jasności układu. Brano pod uwagę inne mniejsze gwiazdy, brązowe karły, chmury gazu i nie tylko, ale ostatecznie uczeni doszli do wniosku, że do ich danych najlepiej pasuje egozplaneta o wielkości saturna, krążąca wokół gwiazd M51-ULS-1 w odległości dziesiątek jednostek astronomicznych.
Niestety, istnieje niewielka szansa, że omawiane odkrycie zostanie potwierdzone, a przynajmniej w tym stuleciu. Potwierdzenie kandydatki na egozplanetę wymaga zwykle obserwacji kilku wywołanych przez nią spadków jasności gwiazdy, a ze względu na to jak daleko potencjalnie odkryta planeta znajduje się od swoich macierzystych gwiazd, ta będzie potrzebować wielu lat, by wykonać wokół nich kilka okrążeni.
Uczeni wierzą, że z czasem uda się im dokonać kolejnych detekcji potencjalnych planet krążących wokół rentgenowskich układów podwójnych. Kto wie, może ich istnienie udałoby się potwierdzić znacznie szybciej. Nie pozostaje nam nic innego, jak życzyć im powodzenia.
Źródło: ScienceAlert, fot. tyt. Canva

